Início     Curriculum Vitae     Ensino     Investigação  Gestão    Links

horizontal rule

QUÍMICA (CTeSP - TIPI)

Programa: PDF       Horário: PDF     1ºTeste: 4 de Janeiro às 11H    2ºTeste: 3 de Fevereiro às 14.30  3ºTeste: 18 de Fevereiro às 9H

Material de Apoio:                          

Classificação da Matéria e Medição                             Termoquímica              Electroquímica     Tabela de iões

Átomos, Moléculas e Iões: relações mássicas                Equilíbrio Químico

Estequiometria                                                         Equilíbrio Ácido-base

Reacções em solução aquosa

Trabalhos Práticos  

 
1. Medição do Volume e Massa de Liquidos
2. Preparação e Padronização de Soluções
3. Determinação da % de Carbonato de Sódio numa Mistura de Na2CO3/NaCl
4. Determinação da Dureza Total de uma Água
5. Aplicação da Lei de Le Chatelier
6. Introdução à Oxidação-redução e Pilhas Electroquímicas

Material de Apoio ao Laboratório:

       

Repositório de Testes:  1/21   2/21

Resolução de exercícios de Termoquímica: 1a5  6a7  8a10  11  12a13  14a15  16  17a18  19  20  21

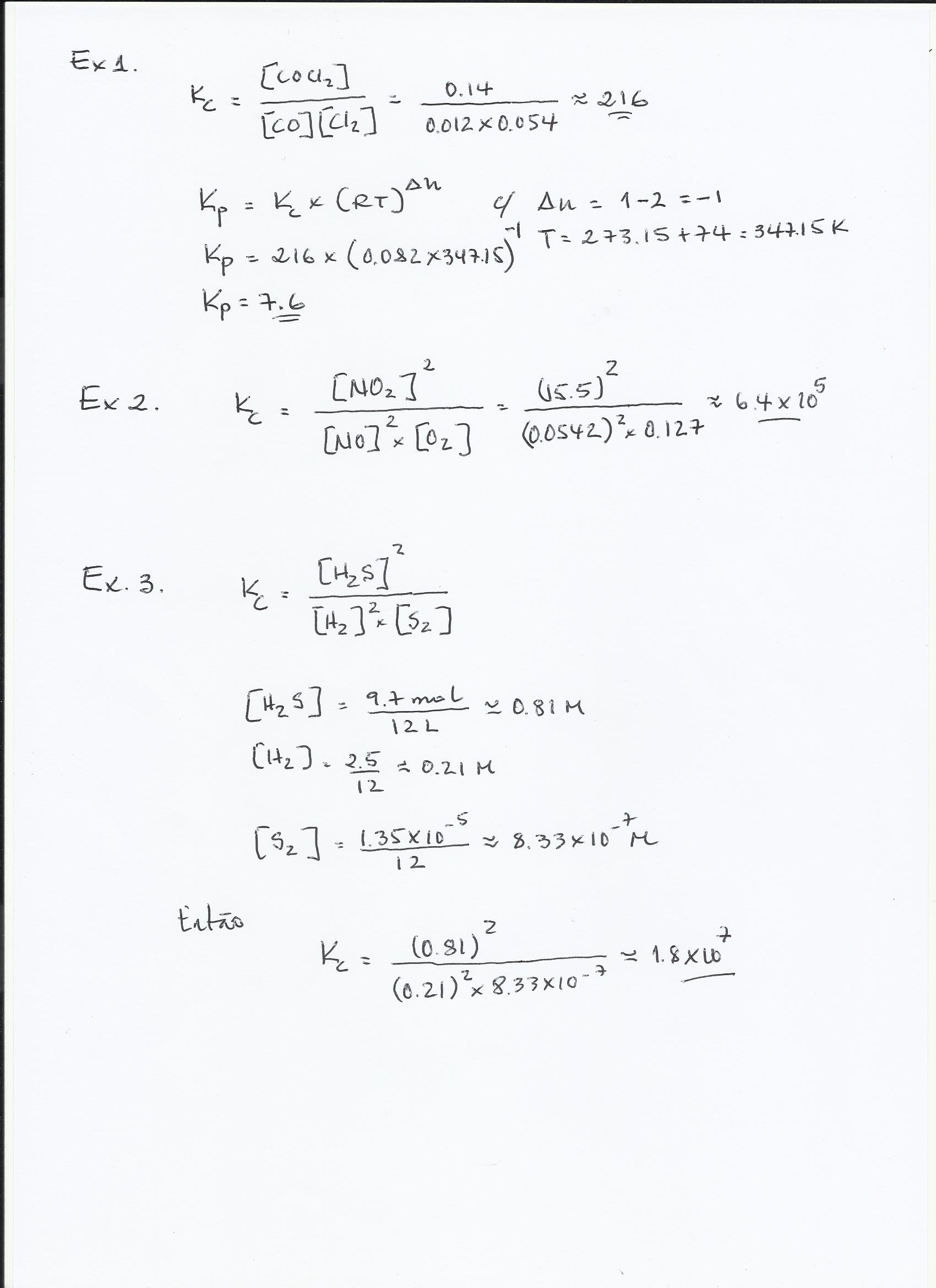
Resolução de exercícios de Equilíbrio Químico: 1a3   4a5   6a7   8a9

Resolução de exercícios de Equilíbrio Ácido-base: 1a2   3a4  5a7